Постановление Правительства Ленинградской области от 29.01.2016 № 13
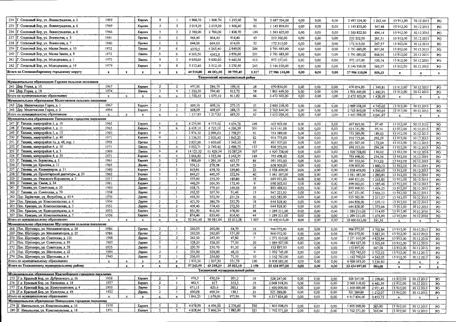
"О внесении изменения в постановление Правительства Ленинградской области от 25 декабря 2014 года № 623 "Об утверждении Краткосрочного плана реализации в 2015 году Региональной программы капитального ремонта общего имущества в многоквартирных домах, расположенных на территории Ленинградской области, на 2014 – 2043 годы"
"О внесении изменения в постановление Правительства Ленинградской области от 25 декабря 2014 года № 623 "Об утверждении Краткосрочного плана реализации в 2015 году Региональной программы капитального ремонта общего имущества в многоквартирных домах, расположенных на территории Ленинградской области, на 2014 – 2043 годы"
Номер опубликования: 4700201602030001
Дата опубликования:
03.02.2016
