Официальное опубликование правовых актов
ОФИЦИАЛЬНОЕ ОПУБЛИКОВАНИЕ
Закон Ленинградской области от 29.12.2015 № 151-оз
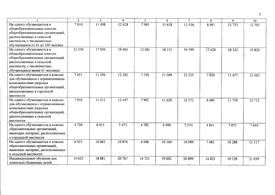
"Об установлении нормативов финансового обеспечения государственных гарантий реализации прав на получение общедоступного и бесплатного дошкольного образования в муниципальных дошкольных образовательных организациях в Ленинградской области, общедоступного и бесплатного дошкольного, начального общего, основного общего, среднего общего образования в муниципальных общеобразовательных организациях в Ленинградской области и обеспечения дополнительного образования детей в муниципальных общеобразовательных организациях в Ленинградской области на 2016 год"
Номер опубликования: 4700201512300021
Дата опубликования: 30.12.2015
Страница №8 из 9:
Увеличить