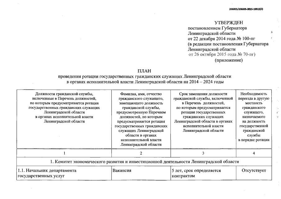
Постановление Губернатора Ленинградской области от 26.10.2015 № 70-пг
"О внесении изменений в постановления Губернатора Ленинградской области от 20 июня 2013 года № 53-пг "Об утверждении Перечня должностей, по которым предусматривается ротация государственных гражданских служащих Ленинградской области в органах исполнительной власти Ленинградской области", от 22 декабря 2014 года № 100-пг "Об утверждении Плана проведения ротации государственных гражданских служащих Ленинградской области в органах исполнительной власти Ленинградской области на 2014 – 2024 годы и признании утратившим силу постановления Губернатора Ленинградской области от 9 сентября 2013 года № 87-пг "Об утверждении Плана проведения ротации государственных гражданских служащих Ленинградской области в органах исполнительной власти Ленинградской области на 2013 – 2023 годы"
"О внесении изменений в постановления Губернатора Ленинградской области от 20 июня 2013 года № 53-пг "Об утверждении Перечня должностей, по которым предусматривается ротация государственных гражданских служащих Ленинградской области в органах исполнительной власти Ленинградской области", от 22 декабря 2014 года № 100-пг "Об утверждении Плана проведения ротации государственных гражданских служащих Ленинградской области в органах исполнительной власти Ленинградской области на 2014 – 2024 годы и признании утратившим силу постановления Губернатора Ленинградской области от 9 сентября 2013 года № 87-пг "Об утверждении Плана проведения ротации государственных гражданских служащих Ленинградской области в органах исполнительной власти Ленинградской области на 2013 – 2023 годы"
Номер опубликования: 4700201511020010
Дата опубликования:
02.11.2015
