Официальное опубликование правовых актов
ОФИЦИАЛЬНОЕ ОПУБЛИКОВАНИЕ
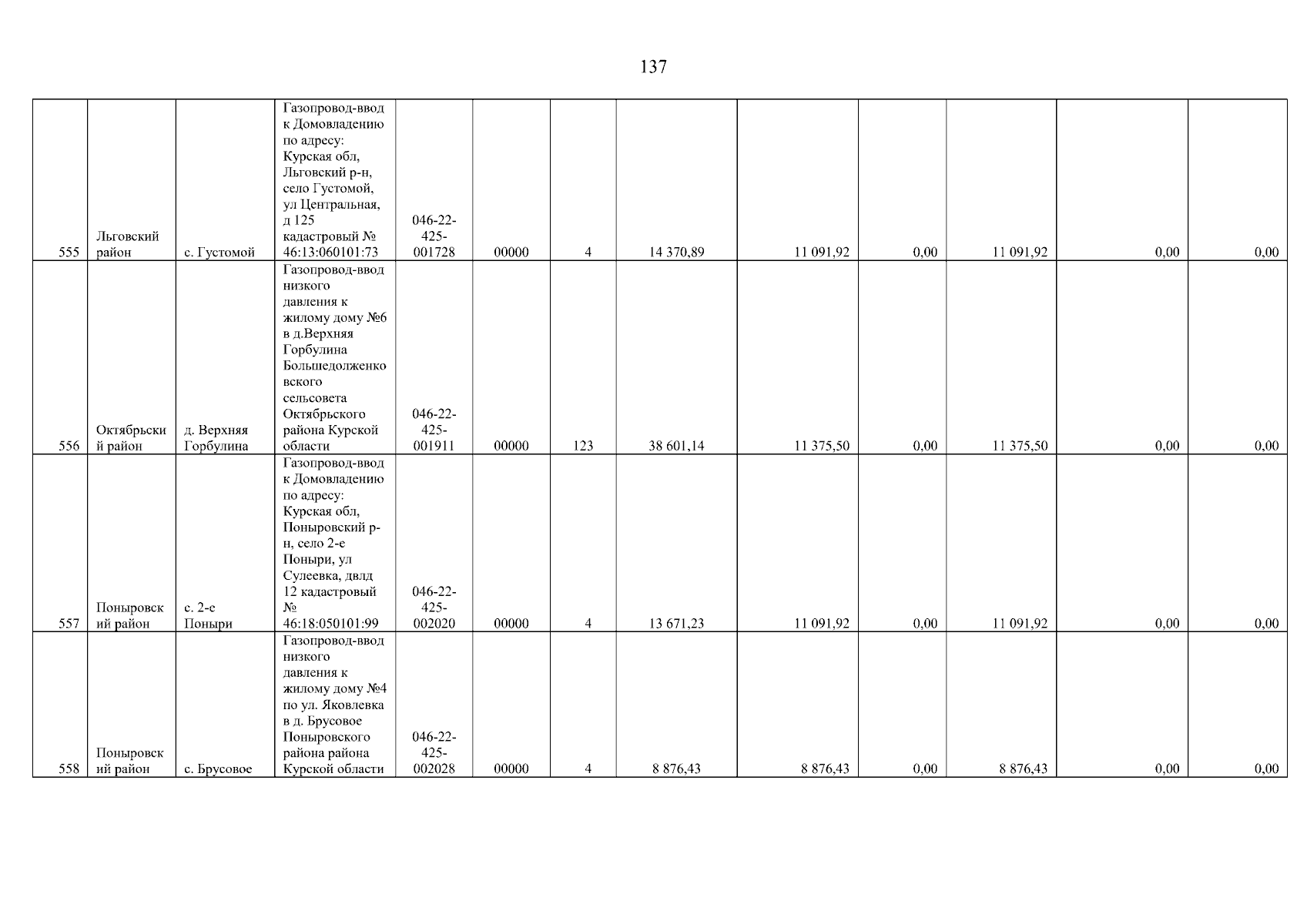
Постановление Комитета по тарифам и ценам Курской области от 28.01.2026 № 2
"Об установлении размера экономически обоснованных расходов АО "Газпром газораспределение Курск" в рамках догазификации за III квартал 2025 года"
(Зарегистрирован 28.01.2026 № 42.26.24)
Номер опубликования: 4601202602050001
Дата опубликования: 05.02.2026
Страница №139 из 184:
Увеличить