Официальное опубликование правовых актов
ОФИЦИАЛЬНОЕ ОПУБЛИКОВАНИЕ
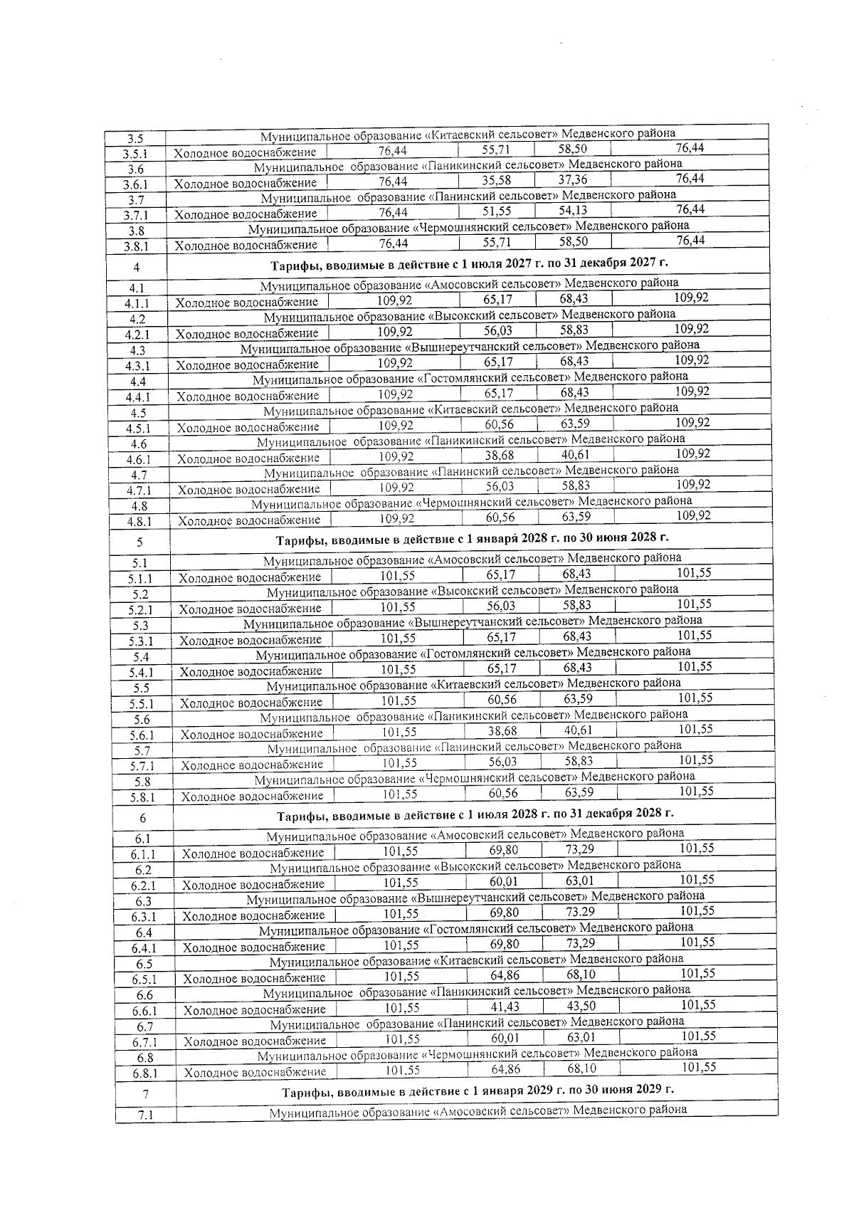
Постановление Комитета по тарифам и ценам Курской области от 18.12.2025 № 151-вод
"Об установлении долгосрочных параметров регулирования тарифов и тарифов на питьевую воду для ТСН "Водоснабжение Медвенского района" на 2026 - 2030 годы"
(Зарегистрирован 23.12.2025 № 1028.25.24)
Номер опубликования: 4601202512290018
Дата опубликования: 29.12.2025
Страница №4 из 6:
Увеличить