Официальное опубликование правовых актов
ОФИЦИАЛЬНОЕ ОПУБЛИКОВАНИЕ
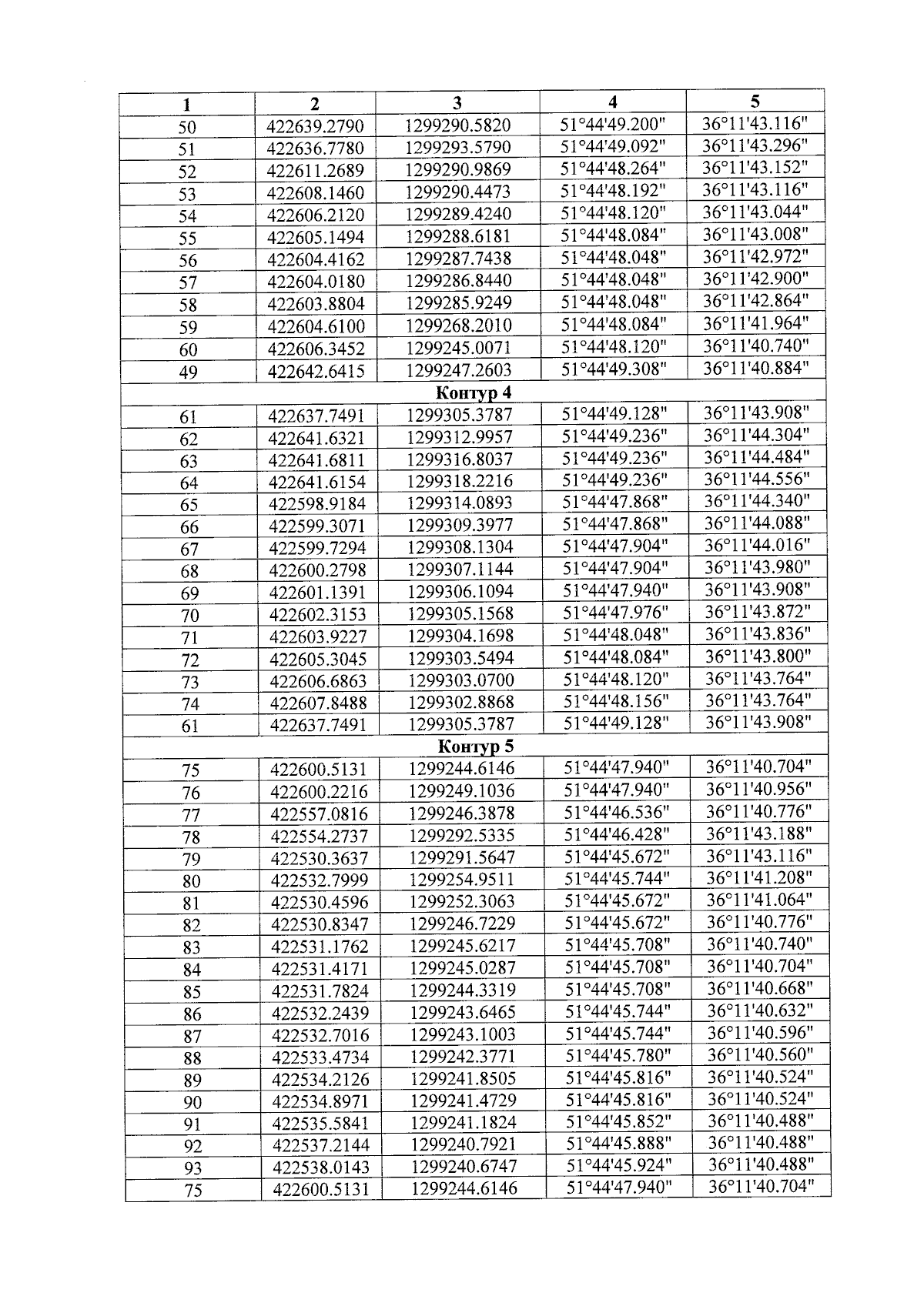
Приказ Управления по государственной охране объектов культурного наследия Курской области от 22.12.2025 № 08.3-08/12
"О включении выявленного объекта археологического наследия в перечень выявленных объектов культурного наследия, расположенных на территории Курской области"
(Зарегистрирован 23.12.2025 № 1041.25.25)
Номер опубликования: 4601202512260001
Дата опубликования: 26.12.2025
Страница №16 из 25:
Увеличить