Официальное опубликование правовых актов
ОФИЦИАЛЬНОЕ ОПУБЛИКОВАНИЕ
Постановление Министерства по тарифам и ценам Курской области от 29.08.2025 № 25
"О внесении изменений в некоторые постановления комитета по тарифам и ценам Курской области"
(Зарегистрирован 29.08.2025 № 593.25.24)
Номер опубликования: 4601202509040002
Дата опубликования: 04.09.2025
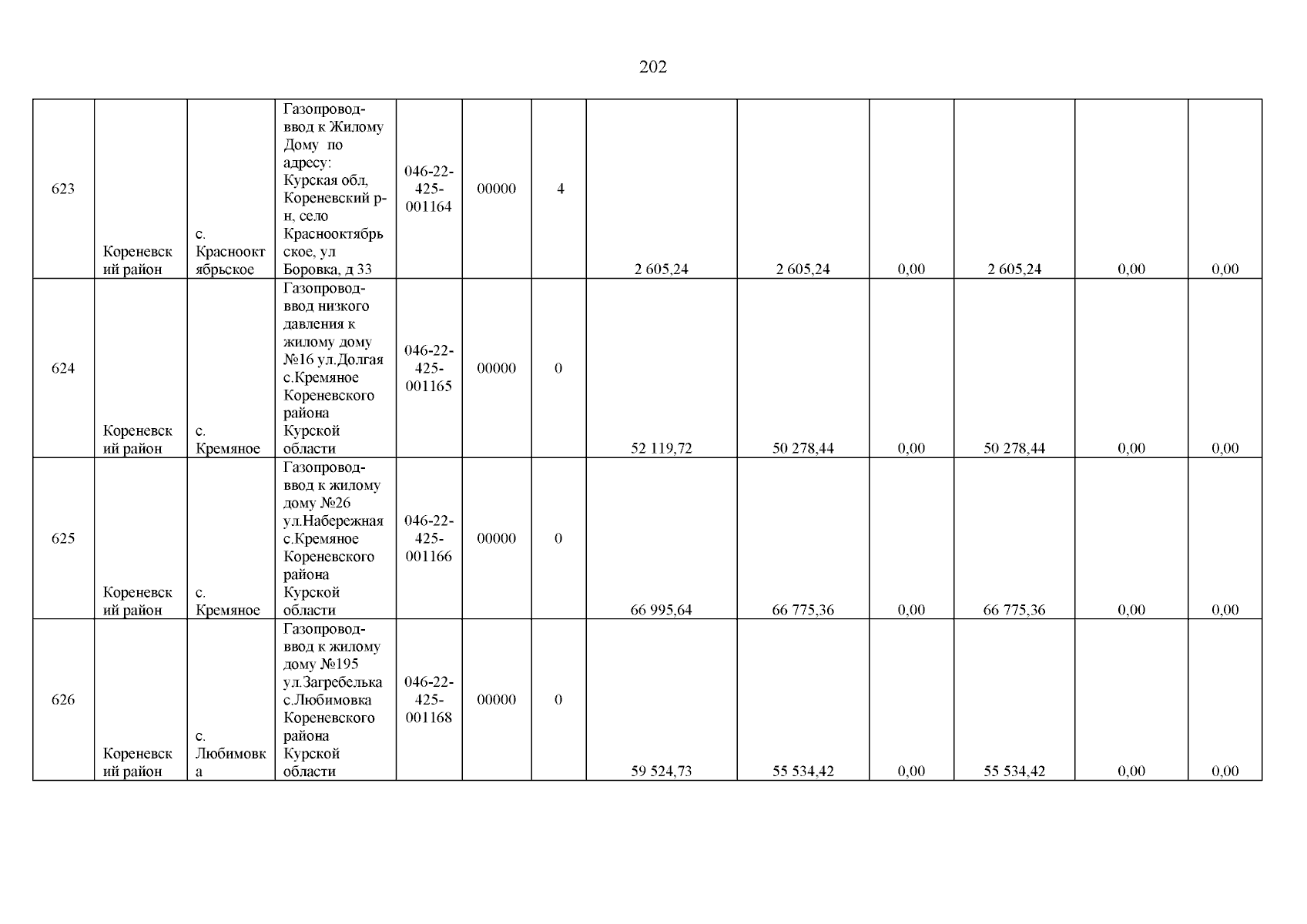
Страница №204 из 587:
Увеличить