Официальное опубликование правовых актов
ОФИЦИАЛЬНОЕ ОПУБЛИКОВАНИЕ
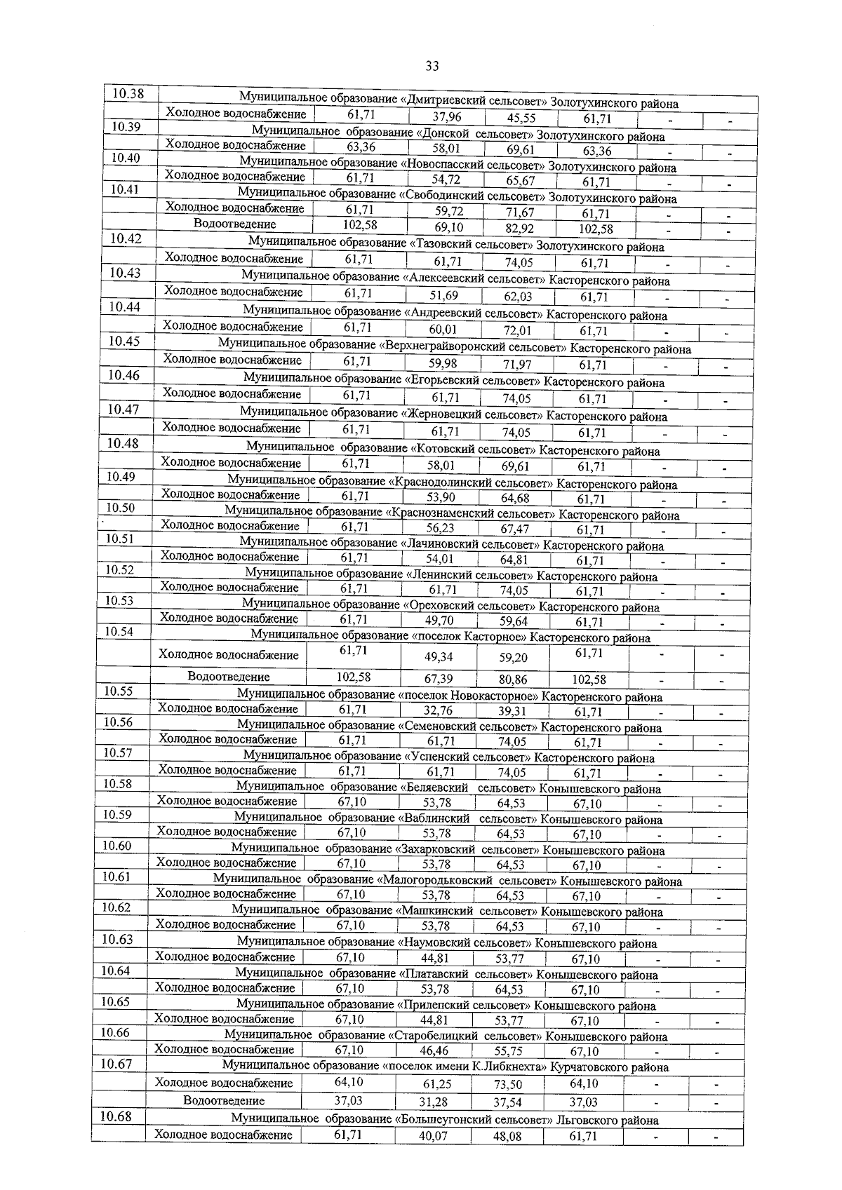
Постановление Комитета по тарифам и ценам Курской области от 08.10.2024 № 39-вод
"О внесении изменений в постановление комитета по тарифам и ценам Курской области от 28 ноября 2023 г. № 219-вод "Об установлении долгосрочных параметров регулирования тарифов и тарифов на питьевую воду и водоотведение для АО "Курскоблводоканал" на 2024 - 2028 годы"
(Зарегистрирован 08.10.2024 № 687.24.24)
Номер опубликования: 4601202410110003
Дата опубликования: 11.10.2024
Страница №44 из 62:
Увеличить