Приказ Комитета социального обеспечения, материнства и детства Курской области от 02.11.2022 № 522
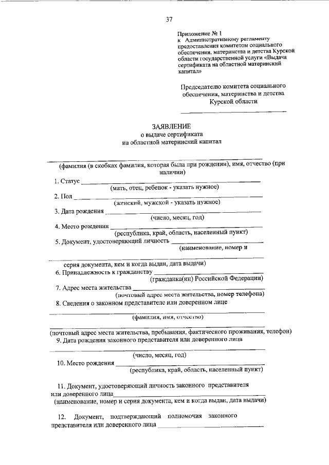
"Об утверждении Административного регламента предоставления комитетом социального обеспечения, материнства и детства Курской области государственной услуги "Выдача сертификата на областной материнский капитал"
"Об утверждении Административного регламента предоставления комитетом социального обеспечения, материнства и детства Курской области государственной услуги "Выдача сертификата на областной материнский капитал"
Номер опубликования: 4601202211070002
Дата опубликования:
07.11.2022
