Официальное опубликование правовых актов
ОФИЦИАЛЬНОЕ ОПУБЛИКОВАНИЕ
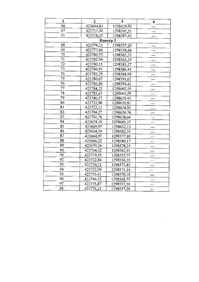
Приказ Комитета по охране объектов культурного наследия Курской области от 18.10.2022 № 05.4-08/1157
"Об утверждении границ и режима использования территории объекта культурного наследия регионального значения "Никитское кладбище г. Курска", XVIII – XX вв., расположенного по адресу: Курская область, г. Курск, ул. К. Маркса, д. 48"
Номер опубликования: 4601202210210012
Дата опубликования: 21.10.2022
Страница №10 из 11:
Увеличить