Официальное опубликование правовых актов
ОФИЦИАЛЬНОЕ ОПУБЛИКОВАНИЕ
Приказ Комитета по охране объектов культурного наследия Курской области от 12.10.2022 № 05.4-08/1128
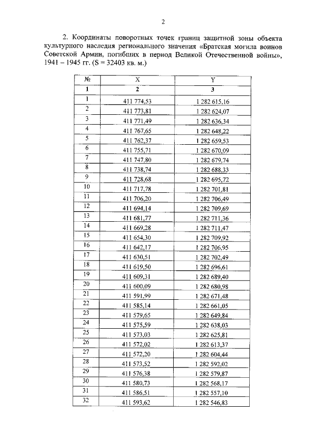
"Об утверждении графического описания местоположения границ защитной зоны объекта культурного наследия регионального значения "Братская могила воинов Советской Армии, погибших в период Великой Отечественной войны", 1941 – 1945 гг. (Курская область, Октябрьский район, п. Прямицыно, ул. Заводская)"
Номер опубликования: 4601202210170007
Дата опубликования: 17.10.2022
Страница №4 из 6:
Увеличить