Официальное опубликование правовых актов
ОФИЦИАЛЬНОЕ ОПУБЛИКОВАНИЕ
Приказ Комитета по охране объектов культурного наследия Курской области от 05.09.2022 № 05.4-08/1052
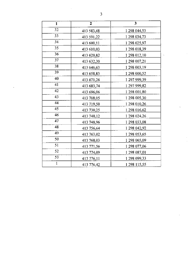
"Об утверждении графического описания местоположения границ защитной зоны объекта культурного наследия регионального значения "Братская могила воинов Советской Армии, погибших в феврале 1943 года. Захоронено 110 человек, установлено фамилий на 79 человек. Обелиск установлен в 1951 году", 1943 г., 1951 г. (Курская область, Курский район, Рышковский сельсовет, с. Рышково, ул. Школьная)"
Номер опубликования: 4601202209130011
Дата опубликования: 13.09.2022
Страница №5 из 6:
Увеличить