Приказ Комитета по охране объектов культурного наследия Курской области от 01.06.2022 № 05.4-08/659
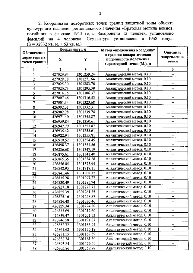
"Об утверждении графического описания местоположения границ защитной зоны объекта культурного наследия регионального значения "Братская могила воинов, погибших в феврале 1943 года. Захоронено 13 человек, установлено фамилий на 4 человека. Скульптура установлена в 1948 году" (Курская область, Курский район, д. Щетинка Щетинского сельсовета (в парке областной туббольницы)"
"Об утверждении графического описания местоположения границ защитной зоны объекта культурного наследия регионального значения "Братская могила воинов, погибших в феврале 1943 года. Захоронено 13 человек, установлено фамилий на 4 человека. Скульптура установлена в 1948 году" (Курская область, Курский район, д. Щетинка Щетинского сельсовета (в парке областной туббольницы)"
Номер опубликования: 4601202206060020
Дата опубликования:
06.06.2022
