Приказ Комитета по охране объектов культурного наследия Курской области от 26.05.2022 № 05.4-08/628
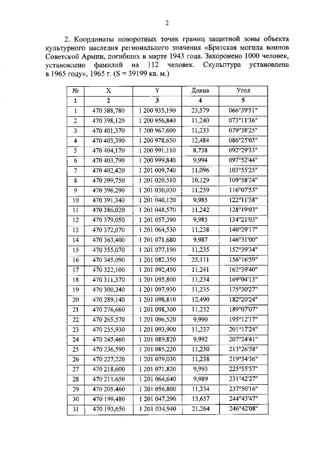
"Об утверждении графического описания местоположения границ защитной зоны объекта культурного наследия регионального значения "Братская могила воинов Советской Армии, погибших в марте 1943 года. Захоронено 1000 человек, установлено фамилий на 112 человек. Скульптура установлена в 1965 году", 1965 г. (Курская область, Дмитриевский район, село Коробкино)"
"Об утверждении графического описания местоположения границ защитной зоны объекта культурного наследия регионального значения "Братская могила воинов Советской Армии, погибших в марте 1943 года. Захоронено 1000 человек, установлено фамилий на 112 человек. Скульптура установлена в 1965 году", 1965 г. (Курская область, Дмитриевский район, село Коробкино)"
Номер опубликования: 4601202205310024
Дата опубликования:
31.05.2022
