Приказ Комитета по охране объектов культурного наследия Курской области от 13.05.2022 № 05.4-08/556
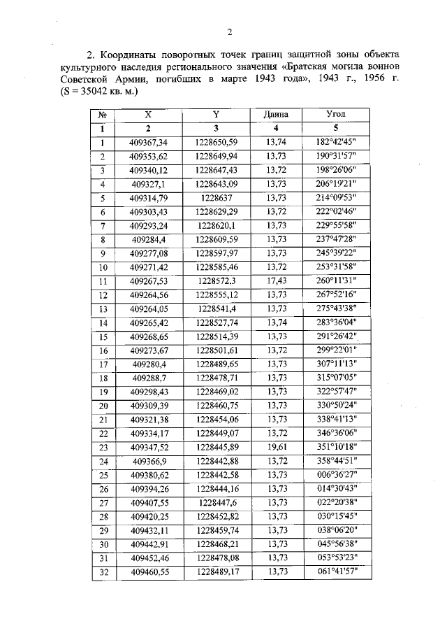
"Об утверждении графического описания местоположения границ защитной зоны объекта культурного наследия регионального значения "Братская могила воинов Советской Армии, погибших в марте 1943 года", 1943 г., 1956 г. (Курская область, Льговский район, п. Селекционный, ул. Садовая, д. 9)"
"Об утверждении графического описания местоположения границ защитной зоны объекта культурного наследия регионального значения "Братская могила воинов Советской Армии, погибших в марте 1943 года", 1943 г., 1956 г. (Курская область, Льговский район, п. Селекционный, ул. Садовая, д. 9)"
Номер опубликования: 4601202205160021
Дата опубликования:
16.05.2022
