Официальное опубликование правовых актов
ОФИЦИАЛЬНОЕ ОПУБЛИКОВАНИЕ
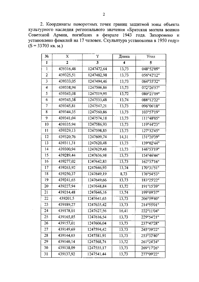
Приказ Комитета по охране объектов культурного наследия Курской области от 16.05.2022 № 05.4-08/575
"Об утверждении графического описания местоположения границ защитной зоны объекта культурного наследия регионального значения "Братская могила воинов Советской Армии, погибших в феврале 1943 года. Захоронено и установлено фамилий на 17 человек. Скульптура установлена в 1950 году" (Курская область, Конышевский район, с. Глазово)"
Номер опубликования: 4601202205160008
Дата опубликования: 16.05.2022
Страница №4 из 6:
Увеличить