Приказ Комитета по охране объектов культурного наследия Курской области от 27.04.2022 № 05.4-08/478
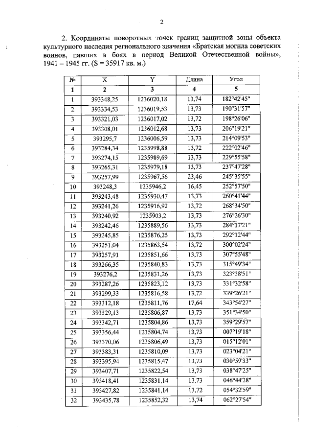
"Об утверждении графического описания местоположения границ защитной зоны объекта культурного наследия регионального значения "Братская могила советских воинов, павших в боях в период Великой Отечественной войны", 1941 – 1945 гг. (Курская область, Льговский район, село Кром – Быки)"
"Об утверждении графического описания местоположения границ защитной зоны объекта культурного наследия регионального значения "Братская могила советских воинов, павших в боях в период Великой Отечественной войны", 1941 – 1945 гг. (Курская область, Льговский район, село Кром – Быки)"
Номер опубликования: 4601202204280010
Дата опубликования:
28.04.2022
