Приказ Комитета по охране объектов культурного наследия Курской области от 20.04.2022 № 05.4-08/450
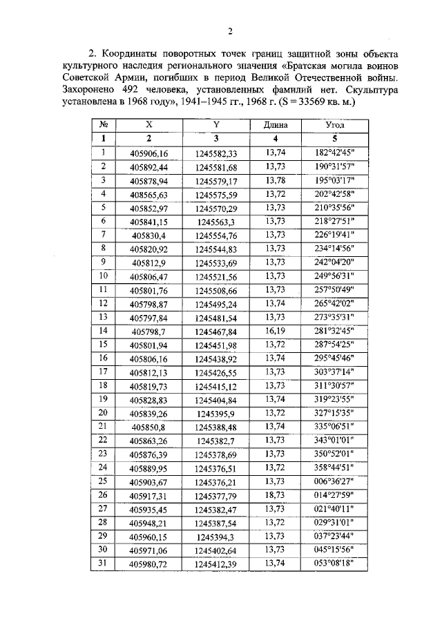
"Об утверждении графического описания местоположения границ защитной зоны объекта культурного наследия регионального значения "Братская могила воинов Советской Армии, погибших в период Великой Отечественной войны. Захоронено 492 человека, установленных фамилий нет. Скульптура установлена в 1968 году", 1941—1945 гг., 1968 г. (Курская область, Льговский район, село Большие Угоны (у железнодорожного моста)"
"Об утверждении графического описания местоположения границ защитной зоны объекта культурного наследия регионального значения "Братская могила воинов Советской Армии, погибших в период Великой Отечественной войны. Захоронено 492 человека, установленных фамилий нет. Скульптура установлена в 1968 году", 1941—1945 гг., 1968 г. (Курская область, Льговский район, село Большие Угоны (у железнодорожного моста)"
Номер опубликования: 4601202204220052
Дата опубликования:
22.04.2022
