Официальное опубликование правовых актов
ОФИЦИАЛЬНОЕ ОПУБЛИКОВАНИЕ
Приказ Комитета по охране объектов культурного наследия Курской области от 20.04.2022 № 05.4-08/440
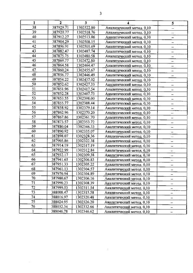
"Об утверждении графического описания местоположения границ защитной зоны объекта культурного наследия регионального значения "Братская могила воинов, погибших в период гражданской войны (1918 г.). Захоронено и установлено фамилий на 18 человек. Скульптура установлена в 1963 году", 1918 г.(Курская область, Медвенский район, с. Рождественское)"
Номер опубликования: 4601202204220045
Дата опубликования: 22.04.2022
Страница №5 из 6:
Увеличить