Официальное опубликование правовых актов
ОФИЦИАЛЬНОЕ ОПУБЛИКОВАНИЕ
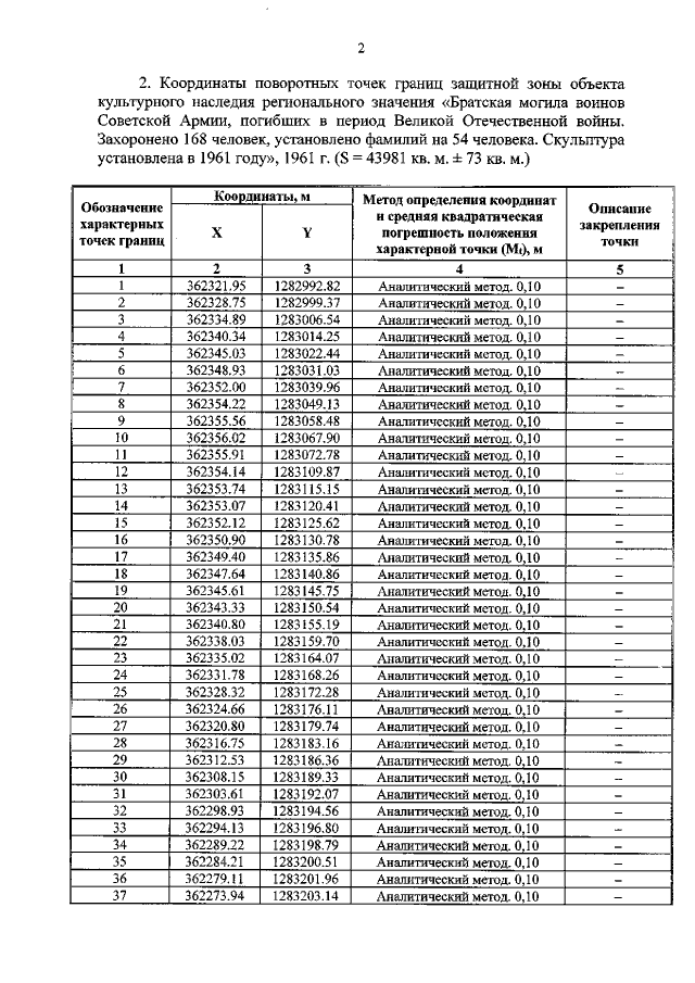
Приказ Комитета по охране объектов культурного наследия Курской области от 20.04.2022 № 05.4-08/441
"Об утверждении графического описания местоположения границ защитной зоны объекта культурного наследия регионального значения "Братская могила воинов Советской Армии, погибших в период Великой Отечественной войны. Захоронено 168 человек, установлено фамилий на 54 человека. Скульптура установлена в 1961 году", 1961 г. (Курская область, Обоянский район, сл. Рыбинские Буды (в сквере, в 30 м от здания сельсовета)"
Номер опубликования: 4601202204220043
Дата опубликования: 22.04.2022
Страница №4 из 7:
Увеличить