Официальное опубликование правовых актов
ОФИЦИАЛЬНОЕ ОПУБЛИКОВАНИЕ
Приказ Комитета по охране объектов культурного наследия Курской области от 20.04.2022 № 05.4-08/442
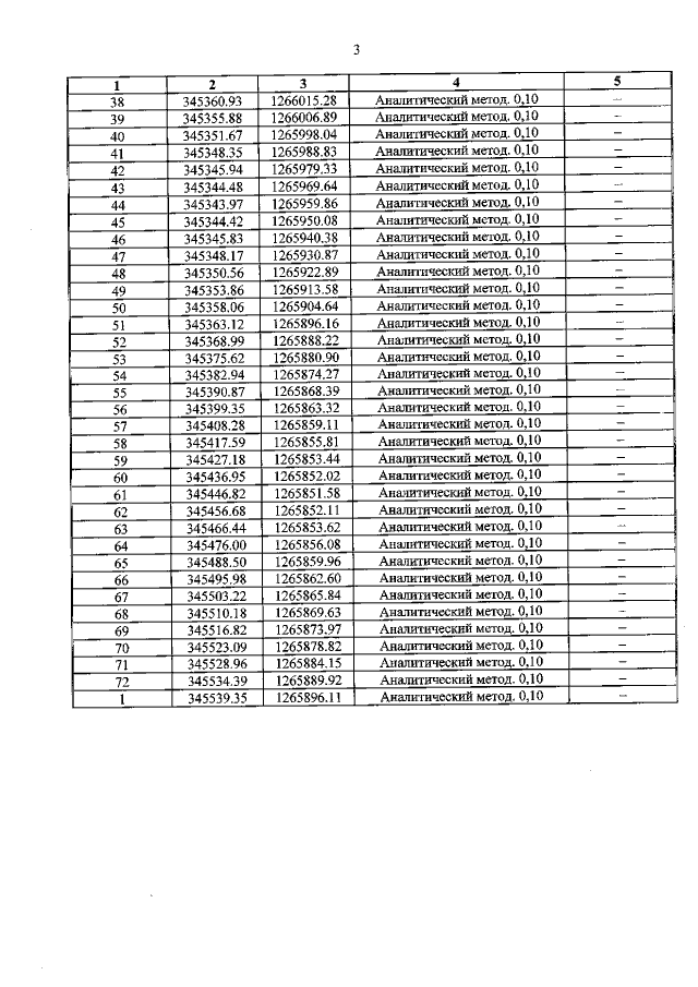
"Об утверждении графического описания местоположения границ защитной зоны объекта культурного наследия регионального значения "Братская могила воинов Советской Армии, погибших в феврале 1943 г. Захоронено 502 человека, установлено фамилий на 260 человек. Скульптура установлена в 1954 году", 1943 г., 1954 г. (Курская область, Беловский район, сл. Белая (районный центр, у районного Дома культуры)"
Номер опубликования: 4601202204220042
Дата опубликования: 22.04.2022
Страница №5 из 6:
Увеличить