Официальное опубликование правовых актов
ОФИЦИАЛЬНОЕ ОПУБЛИКОВАНИЕ
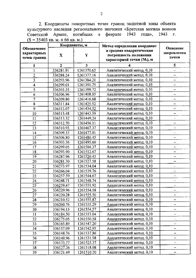
Приказ Комитета по охране объектов культурного наследия Курской области от 11.04.2022 № 05.4-08/382
"Об утверждении графического описания местоположения границ защитной зоны объекта культурного наследия регионального значения "Братская могила воинов Советской Армии, погибших в феврале 1943 года", 1943 г.(Курская область, Беловский район, с. Мокрушино)"
Номер опубликования: 4601202204180002
Дата опубликования: 18.04.2022
Страница №4 из 6:
Увеличить