Официальное опубликование правовых актов
ОФИЦИАЛЬНОЕ ОПУБЛИКОВАНИЕ
Приказ Комитета по охране объектов культурного наследия Курской области от 11.04.2022 № 05.4-08/386
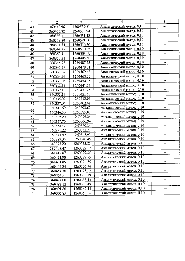
"Об утверждении графического описания местоположения границ защитной зоны объекта культурного наследия регионального значения "Братская могила воинов Советской Армии, погибших в феврале 1943 года", 1943 г. (Курская область, Беловский район, с. Щеголек)"
Номер опубликования: 4601202204150041
Дата опубликования: 15.04.2022
Страница №5 из 6:
Увеличить