Официальное опубликование правовых актов
ОФИЦИАЛЬНОЕ ОПУБЛИКОВАНИЕ
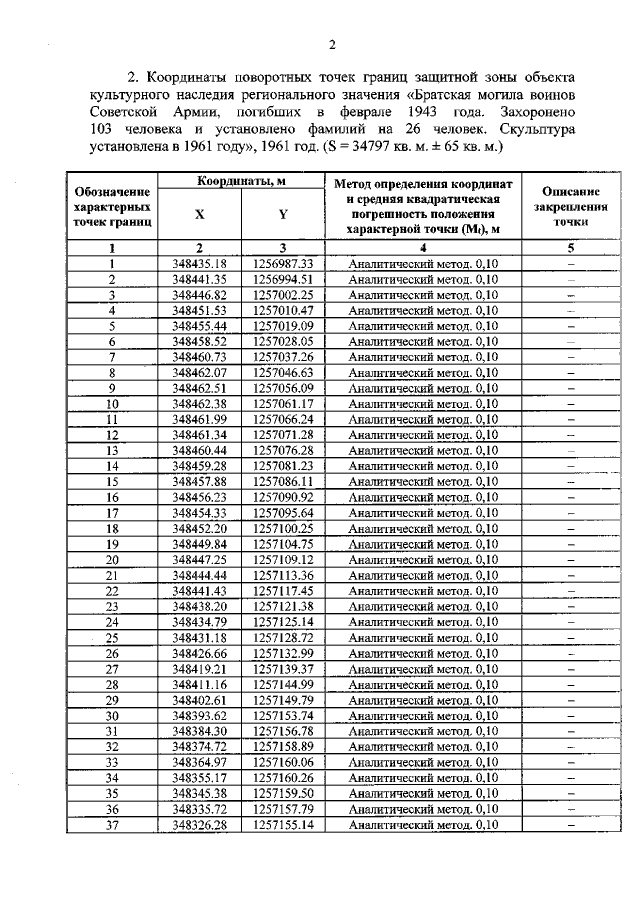
Приказ Комитета по охране объектов культурного наследия Курской области от 11.04.2022 № 05.4-08/385
"Об утверждении графического описания местоположения границ защитной зоны объекта культурного наследия регионального значения "Братская могила воинов Советской Армии, погибших в феврале 1943 года. Захоронено 103 человека и установлено фамилий на 26 человек. Скульптура установлена в 1961 году", 1961 год(Курская область, Беловский район, ст. Псел (на привокзальной площади)"
Номер опубликования: 4601202204150036
Дата опубликования: 15.04.2022
Страница №4 из 6:
Увеличить