Официальное опубликование правовых актов
ОФИЦИАЛЬНОЕ ОПУБЛИКОВАНИЕ
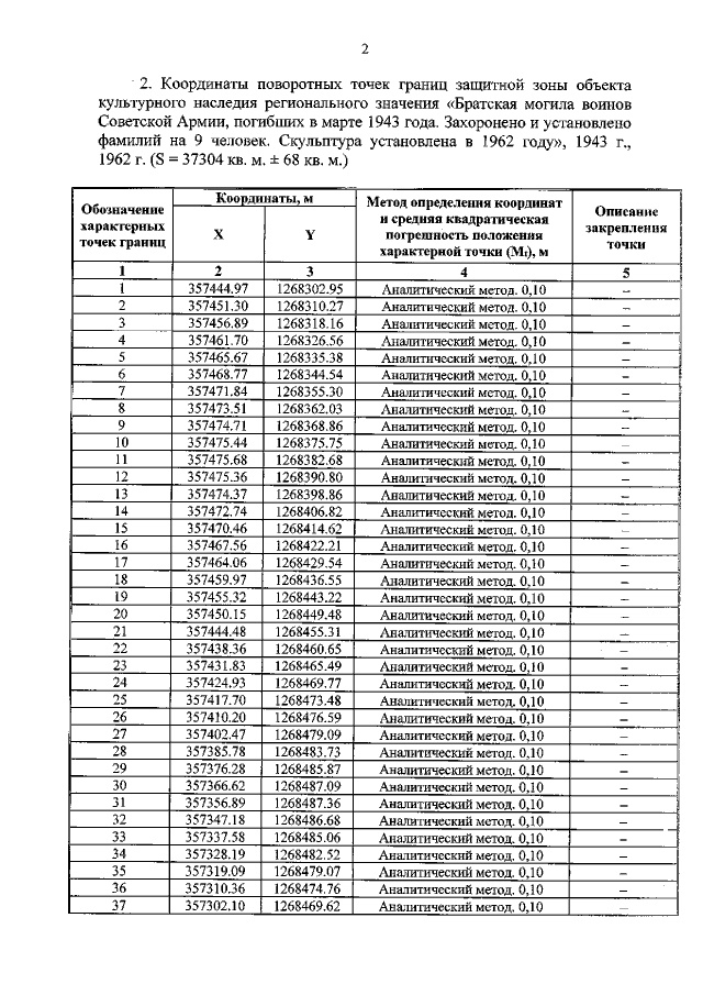
Приказ Комитета по охране объектов культурного наследия Курской области от 07.04.2022 № 05.4-08/366
"Об утверждении графического описания местоположения границ защитной зоны объекта культурного наследия регионального значения "Братская могила воинов Советской Армии, погибших в марте 1943 года. Захоронено и установлено фамилий на 9 человек. Скульптура установлена в 1962 году", 1943 г., 1962 г.(Курская область, Беловский район, с. Долгие Буды (в центре села)"
Номер опубликования: 4601202204150016
Дата опубликования: 15.04.2022
Страница №4 из 6:
Увеличить