Приказ Комитета по охране объектов культурного наследия Курской области от 07.04.2022 № 05.4-08/360
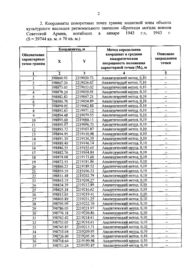
"Об утверждении графического описания местоположения границ защитной зоны объекта культурного наследия регионального значения "Братская могила воинов Советской Армии, погибших в январе 1943 года", 1943 г. (Курская область, Горшеченский район, п. Горшечное (пос. свеклосовхоза "Горшеченский")"
"Об утверждении графического описания местоположения границ защитной зоны объекта культурного наследия регионального значения "Братская могила воинов Советской Армии, погибших в январе 1943 года", 1943 г. (Курская область, Горшеченский район, п. Горшечное (пос. свеклосовхоза "Горшеченский")"
Номер опубликования: 4601202204150012
Дата опубликования:
15.04.2022
