Официальное опубликование правовых актов
ОФИЦИАЛЬНОЕ ОПУБЛИКОВАНИЕ
Приказ Комитета по охране объектов культурного наследия Курской области от 07.04.2022 № 05.4-08/364
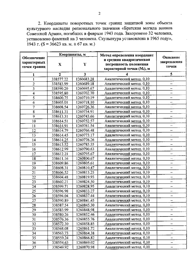
"Об утверждении графического описания местоположения границ защитной зоны объекта культурного наследия регионального значения "Братская могила воинов Советской Армии, погибших в феврале 1943 года. Захоронено 32 человека, установлено фамилий на 3 человека. Скульптура установлена в 1965 году", 1943 г. (Курская область, Беловский район, с. Вишнево)"
Номер опубликования: 4601202204150010
Дата опубликования: 15.04.2022
Страница №4 из 7:
Увеличить