Официальное опубликование правовых актов
ОФИЦИАЛЬНОЕ ОПУБЛИКОВАНИЕ
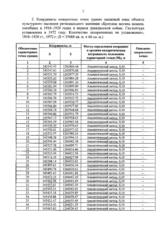
Приказ Комитета по охране объектов культурного наследия Курской области от 07.04.2022 № 05.4-08/361
"Об утверждении графического описания местоположения границ защитной зоны объекта культурного наследия регионального значения "Братская могила воинов, погибших в 1918–1920 годах в период гражданской войны. Скульптура установлена в 1972 году. Количество захороненных не установлено", 1918–1920 гг., 1972 г.(Курская область, Беловский район, сл. Белая (районный центр), у здания районного Дома культуры)"
Номер опубликования: 4601202204150009
Дата опубликования: 15.04.2022
Страница №4 из 8:
Увеличить