Приказ Комитета по охране объектов культурного наследия Курской области от 06.04.2022 № 05.4-08/342
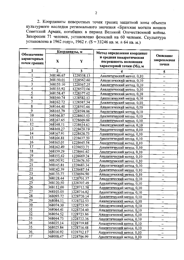
"Об утверждении графического описания местоположения границ защитной зоны объекта культурного наследия регионального значения "Братская могила воинов Советской Армии, погибших в период Великой Отечественной войны. Захоронен 71 человек, установлено фамилий на 60 человек. Скульптура установлена в 1962 году", 1962 г. (Курская область, Суджанский район, село Лебедевка)"
"Об утверждении графического описания местоположения границ защитной зоны объекта культурного наследия регионального значения "Братская могила воинов Советской Армии, погибших в период Великой Отечественной войны. Захоронен 71 человек, установлено фамилий на 60 человек. Скульптура установлена в 1962 году", 1962 г. (Курская область, Суджанский район, село Лебедевка)"
Номер опубликования: 4601202204130007
Дата опубликования:
13.04.2022
