Приказ Комитета по охране объектов культурного наследия Курской области от 04.04.2022 № 05.4-08/317
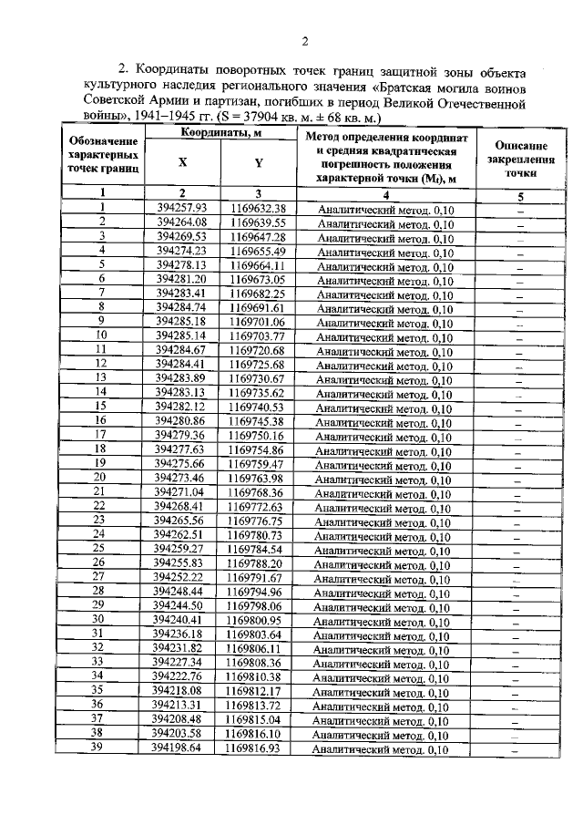
"Об утверждении графического описания местоположения границ защитной зоны объекта культурного наследия регионального значения "Братская могила воинов Советской Армии и партизан, погибших в период Великой Отечественной войны", 1941–1945 гг.(Курская область, Рыльский район, дер. Анатольевка (в центре деревни)"
"Об утверждении графического описания местоположения границ защитной зоны объекта культурного наследия регионального значения "Братская могила воинов Советской Армии и партизан, погибших в период Великой Отечественной войны", 1941–1945 гг.(Курская область, Рыльский район, дер. Анатольевка (в центре деревни)"
Номер опубликования: 4601202204110009
Дата опубликования:
11.04.2022
