Приказ Комитета по охране объектов культурного наследия Курской области от 04.04.2022 № 05.4-08/313
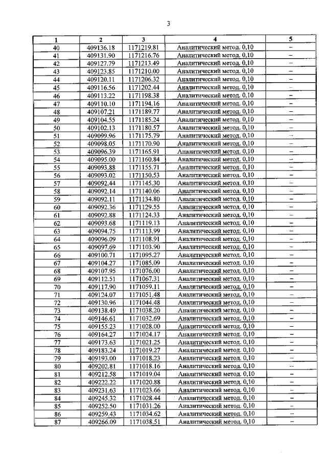
"Об утверждении графического описания местоположения границ защитной зоны объекта культурного наследия регионального значения "Братская могила воинов Советской Армии, погибших в период Великой Отечественной войны", 1941–1945 гг.(Курская область, Рыльский район, село Крупец)"
"Об утверждении графического описания местоположения границ защитной зоны объекта культурного наследия регионального значения "Братская могила воинов Советской Армии, погибших в период Великой Отечественной войны", 1941–1945 гг.(Курская область, Рыльский район, село Крупец)"
Номер опубликования: 4601202204110008
Дата опубликования:
11.04.2022
