Приказ Комитета по охране объектов культурного наследия Курской области от 30.03.2022 № 05.4-08/289
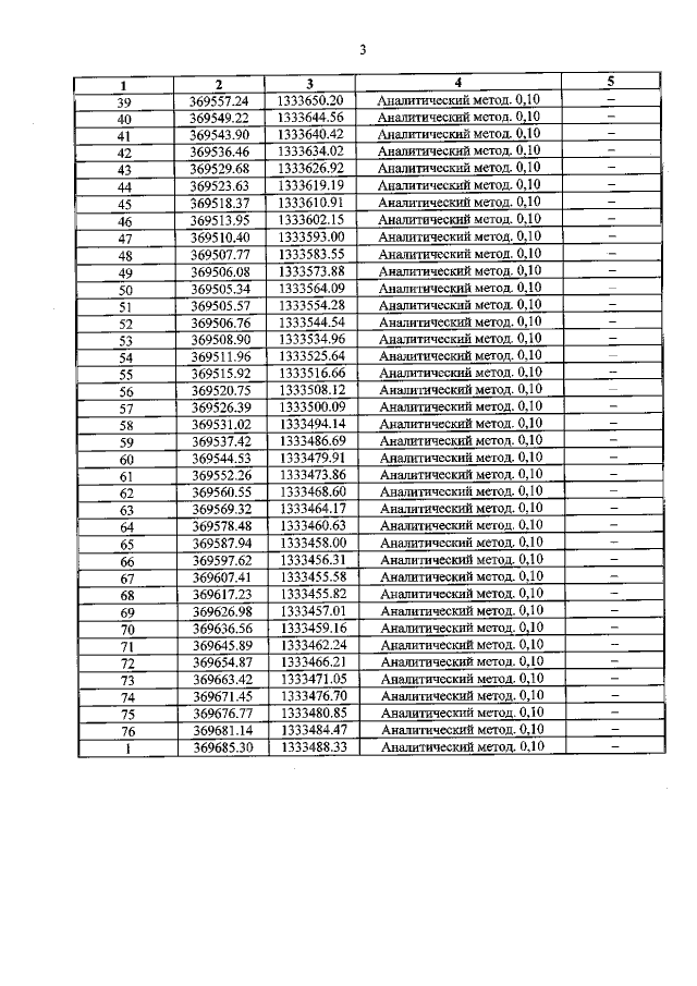
"Об утверждении графического описания местоположения границ защитной зоны объекта культурного наследия регионального значения "Братская могила воинов Советской Армии, погибших в период Великой Отечественной войны", 1941—1945 гг., 1967 г. (Курская область, Пристенский район, хут. Озерки (50 м севернее правления Озерского отделения совхоза им. Кирова)"
"Об утверждении графического описания местоположения границ защитной зоны объекта культурного наследия регионального значения "Братская могила воинов Советской Армии, погибших в период Великой Отечественной войны", 1941—1945 гг., 1967 г. (Курская область, Пристенский район, хут. Озерки (50 м севернее правления Озерского отделения совхоза им. Кирова)"
Номер опубликования: 4601202204060017
Дата опубликования:
06.04.2022
