Официальное опубликование правовых актов
ОФИЦИАЛЬНОЕ ОПУБЛИКОВАНИЕ
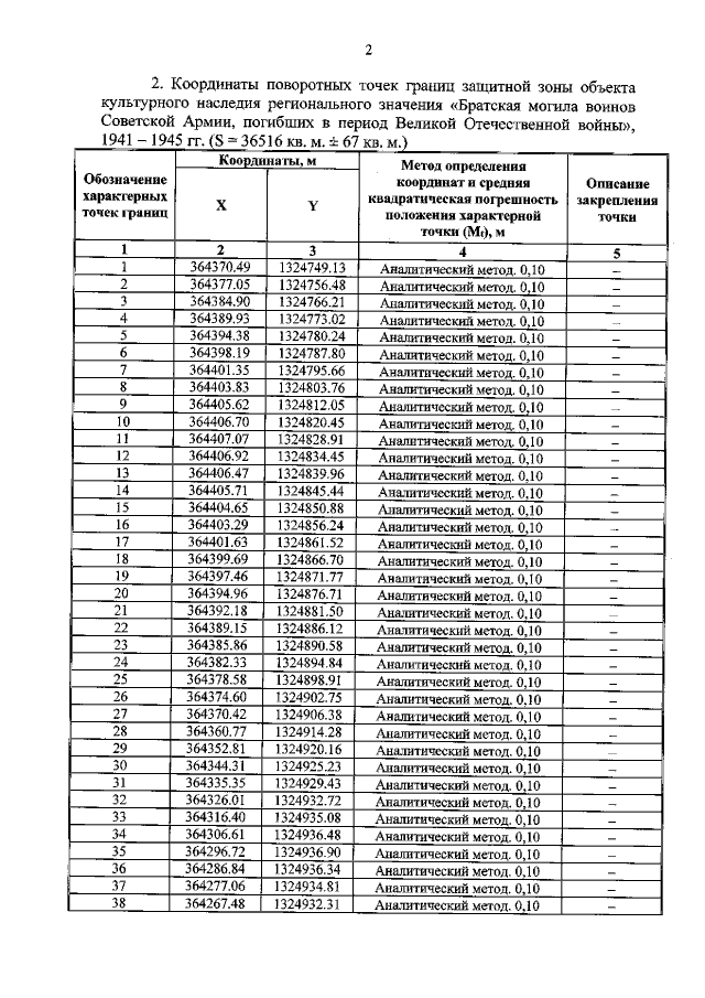
Приказ Комитета по охране объектов культурного наследия Курской области от 30.03.2022 № 05.4-08/288
"Об утверждении графического описания местоположения границ защитной зоны объекта культурного наследия регионального значения "Братская могила воинов Советской Армии, погибших в период Великой Отечественной войны", 1941—1945 гг. (Курская область, Пристенский район, село Нагольное)"
Номер опубликования: 4601202204060016
Дата опубликования: 06.04.2022
Страница №4 из 6:
Увеличить