Официальное опубликование правовых актов
ОФИЦИАЛЬНОЕ ОПУБЛИКОВАНИЕ
Приказ Комитета по охране объектов культурного наследия Курской области от 30.03.2022 № 05.4-08/298
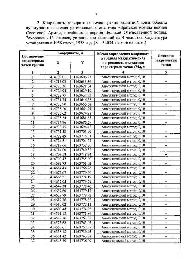
"Об утверждении графического описания местоположения границ защитной зоны объекта культурного наследия регионального значения "Братская могила воинов Советской Армии, погибших в период Великой Отечественной войны. Захоронено 13 человек, установлено фамилий на 4 человека. Скульптура установлена в 1958 году", 1958 год (Курская область, Рыльский район, село Локоть (в центре села), у Дома культуры)"
Номер опубликования: 4601202204060013
Дата опубликования: 06.04.2022
Страница №4 из 6:
Увеличить