Приказ Комитета по охране объектов культурного наследия Курской области от 30.03.2022 № 05.4-08/280
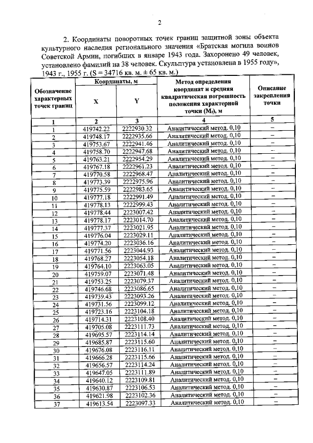
"Об утверждении графического описания местоположения границ защитной зоны объекта культурного наследия регионального значения "Братская могила воинов Советской Армии, погибших в январе 1943 года. Захоронено 49 человек, установлено фамилий на 38 человек. Скульптура установлена в 1955 году", 1943 г., 1955 г. (Курская область, Касторенский район, с. Красная Долина Краснодолинского сельсовета (у здания восьмилетней школы)"
"Об утверждении графического описания местоположения границ защитной зоны объекта культурного наследия регионального значения "Братская могила воинов Советской Армии, погибших в январе 1943 года. Захоронено 49 человек, установлено фамилий на 38 человек. Скульптура установлена в 1955 году", 1943 г., 1955 г. (Курская область, Касторенский район, с. Красная Долина Краснодолинского сельсовета (у здания восьмилетней школы)"
Номер опубликования: 4601202204060002
Дата опубликования:
06.04.2022
