Приказ Комитета по охране объектов культурного наследия Курской области от 29.03.2022 № 05.4-08/268
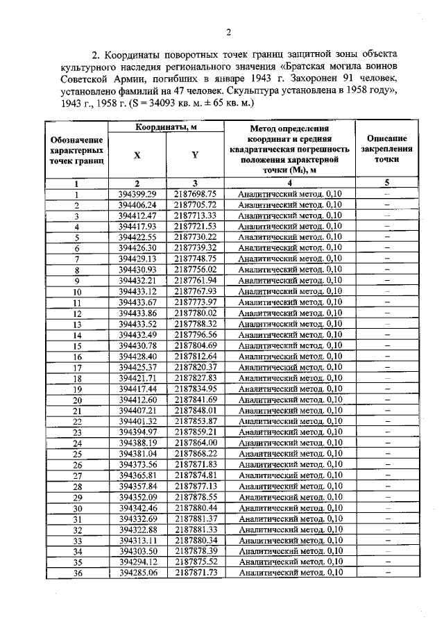
"Об утверждении графического описания местоположения границ защитной зоны объекта культурного наследия регионального значения "Братская могила воинов Советской Армии, погибших в январе 1943 г. Захоронен 91 человек, установлено фамилий на 47 человек. Скульптура установлена в 1958 году", 1943 г., 1958 г. (Курская область, Горшеченский район, с. Среднедорожное (в центре села)"
"Об утверждении графического описания местоположения границ защитной зоны объекта культурного наследия регионального значения "Братская могила воинов Советской Армии, погибших в январе 1943 г. Захоронен 91 человек, установлено фамилий на 47 человек. Скульптура установлена в 1958 году", 1943 г., 1958 г. (Курская область, Горшеченский район, с. Среднедорожное (в центре села)"
Номер опубликования: 4601202204050026
Дата опубликования:
05.04.2022
