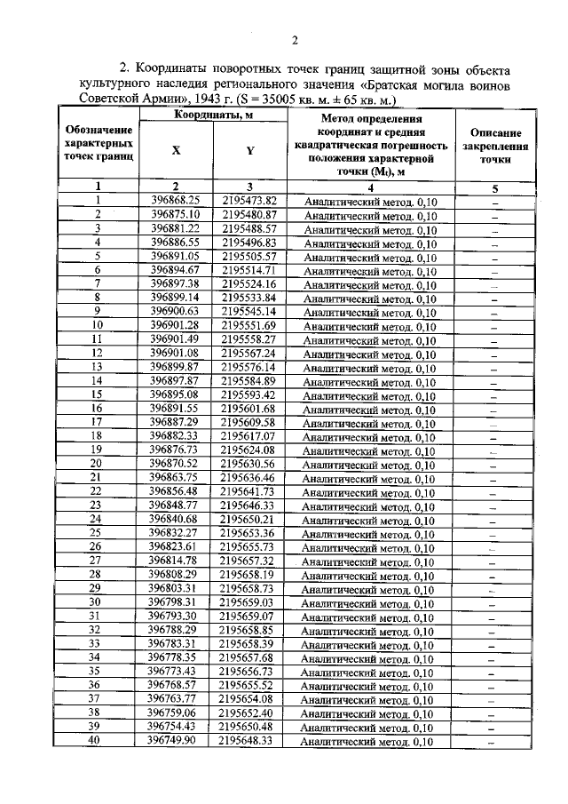
Приказ Комитета по охране объектов культурного наследия Курской области от 29.03.2022 № 05.4-08/270
"Об утверждении графического описания местоположения границ защитной зоны объекта культурного наследия регионального значения "Братская могила воинов Советской Армии", 1943 г. (Курская область, Горшеченский район, с. Средние Апочки)"
"Об утверждении графического описания местоположения границ защитной зоны объекта культурного наследия регионального значения "Братская могила воинов Советской Армии", 1943 г. (Курская область, Горшеченский район, с. Средние Апочки)"
Номер опубликования: 4601202204050018
Дата опубликования:
05.04.2022
