Приказ Комитета по охране объектов культурного наследия Курской области от 29.03.2022 № 05.4-08/274
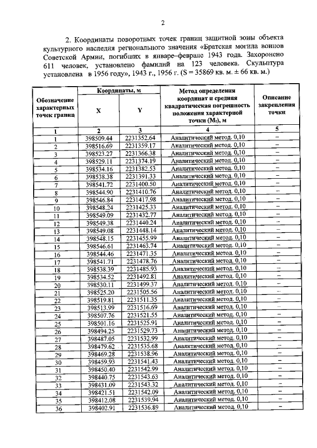
"Об утверждении графического описания местоположения границ защитной зоны объекта культурного наследия регионального значения "Братская могила воинов Советской Армии, погибших в январе—феврале 1943 года. Захоронено 611 человек, установлено фамилий на 123 человека. Скульптура установлена в 1956 году", 1943 г., 1956 г. (Курская область, Горшеченский район, с. Ясенки Ясенковского сельсовета (невдалеке от гражданского кладбища и средней школы)"
"Об утверждении графического описания местоположения границ защитной зоны объекта культурного наследия регионального значения "Братская могила воинов Советской Армии, погибших в январе—феврале 1943 года. Захоронено 611 человек, установлено фамилий на 123 человека. Скульптура установлена в 1956 году", 1943 г., 1956 г. (Курская область, Горшеченский район, с. Ясенки Ясенковского сельсовета (невдалеке от гражданского кладбища и средней школы)"
Номер опубликования: 4601202204050017
Дата опубликования:
05.04.2022
