Официальное опубликование правовых актов
ОФИЦИАЛЬНОЕ ОПУБЛИКОВАНИЕ
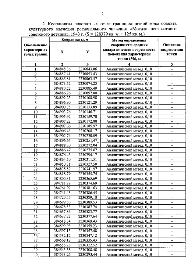
Приказ Комитета по охране объектов культурного наследия Курской области от 29.03.2022 № 05.4-08/271
"Об утверждении графического описания местоположения границ защитной зоны объекта культурного наследия регионального значения "Могила неизвестного советского летчика", 1943 г. (Курская область, Горшеченский район, с. Старое Меловое)"
Номер опубликования: 4601202204050015
Дата опубликования: 05.04.2022
Страница №3 из 5:
Увеличить