Приказ Комитета по охране объектов культурного наследия Курской области от 29.03.2022 № 05.4-08/273
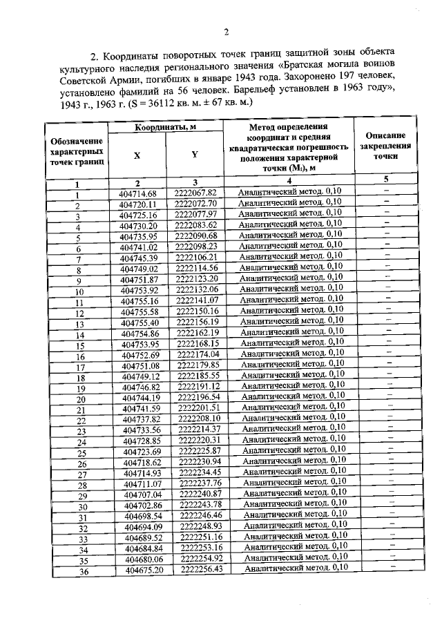
"Об утверждении графического описания местоположения границ защитной зоны объекта культурного наследия регионального значения "Братская могила воинов Советской Армии, погибших в январе 1943 года. Захоронено 197 человек, установлено фамилий на 56 человек. Барельеф установлен в 1963 году", 1943 г., 1963 г. (Курская область, Горшеченский район, с. Удобное (в центре села)"
"Об утверждении графического описания местоположения границ защитной зоны объекта культурного наследия регионального значения "Братская могила воинов Советской Армии, погибших в январе 1943 года. Захоронено 197 человек, установлено фамилий на 56 человек. Барельеф установлен в 1963 году", 1943 г., 1963 г. (Курская область, Горшеченский район, с. Удобное (в центре села)"
Номер опубликования: 4601202204050004
Дата опубликования:
05.04.2022
