Приказ Комитета по охране объектов культурного наследия Курской области от 28.03.2022 № 05.4-08/236
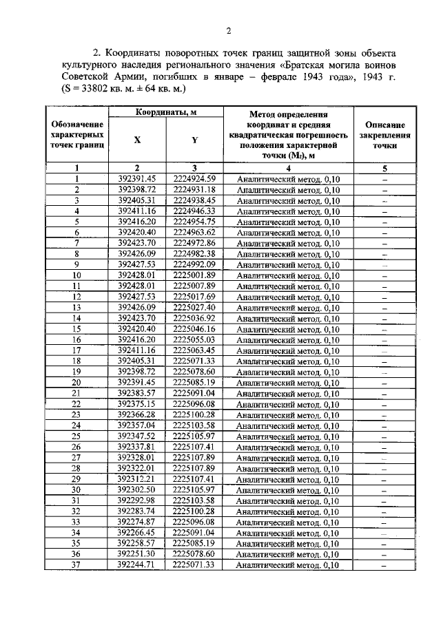
"Об утверждении графического описания местоположения границ защитной зоны объекта культурного наследия регионального значения "Братская могила воинов Советской Армии, погибших в январе — феврале 1943 года", 1943 г. (Курская область, Горшеченский район, с. Богородицкое)"
"Об утверждении графического описания местоположения границ защитной зоны объекта культурного наследия регионального значения "Братская могила воинов Советской Армии, погибших в январе — феврале 1943 года", 1943 г. (Курская область, Горшеченский район, с. Богородицкое)"
Номер опубликования: 4601202204040019
Дата опубликования:
04.04.2022
