Приказ Комитета по охране объектов культурного наследия Курской области от 28.03.2022 № 05.4-08/239
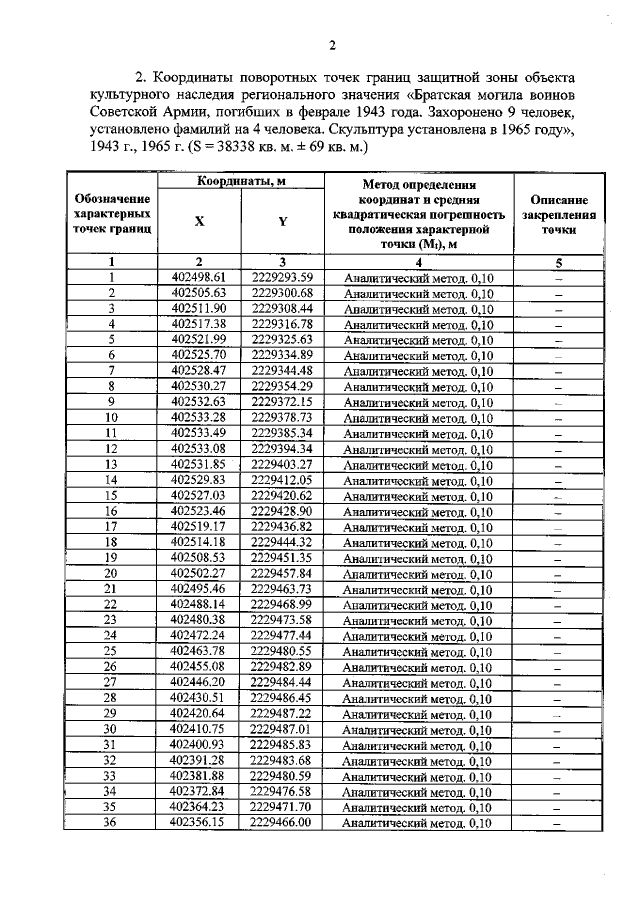
"Об утверждении графического описания местоположения границ защитной зоны объекта культурного наследия регионального значения "Братская могила воинов Советской Армии, погибших в феврале 1943 года. Захоронено 9 человек, установлено фамилий на 4 человека. Скульптура установлена в 1965 году", 1943 г., 1965 г. (Курская область, Горшеченский район, с. Кулевка)"
"Об утверждении графического описания местоположения границ защитной зоны объекта культурного наследия регионального значения "Братская могила воинов Советской Армии, погибших в феврале 1943 года. Захоронено 9 человек, установлено фамилий на 4 человека. Скульптура установлена в 1965 году", 1943 г., 1965 г. (Курская область, Горшеченский район, с. Кулевка)"
Номер опубликования: 4601202204040017
Дата опубликования:
04.04.2022
