Официальное опубликование правовых актов
ОФИЦИАЛЬНОЕ ОПУБЛИКОВАНИЕ
Приказ Комитета по охране объектов культурного наследия Курской области от 28.03.2022 № 05.4-08/240
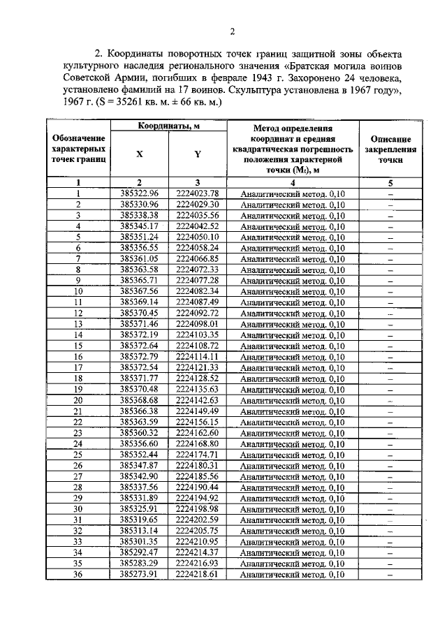
"Об утверждении графического описания местоположения границ защитной зоны объекта культурного наследия регионального значения "Братская могила воинов Советской Армии, погибших в феврале 1943 г. Захоронено 24 человека, установлено фамилий на 17 воинов. Скульптура установлена в 1967 году", 1967 г. (Курская область, Горшеченский район, с. Нижние Борки Нижнеборковского сельсовета (у сельского клуба)"
Номер опубликования: 4601202204040015
Дата опубликования: 04.04.2022
Страница №4 из 7:
Увеличить