Официальное опубликование правовых актов
ОФИЦИАЛЬНОЕ ОПУБЛИКОВАНИЕ
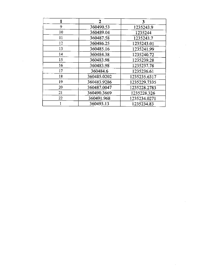
Приказ Комитета по охране объектов культурного наследия Курской области от 25.03.2022 № 05.4-08/230
"Об утверждении границ и режима использования территории объекта культурного наследия регионального значения "Братская могила воинов Советской Армии и партизан, погибших в период Великой Отечественной войны. Захоронено 663 человека, установлено фамилий на 292 человека. Скульптура установлена в 1963 году", 1963 год, расположенного по адресу: Курская область, Суджанский район, г. Суджа, Советская площадь"
Номер опубликования: 4601202204010015
Дата опубликования: 01.04.2022
Страница №6 из 8:
Увеличить