Приказ Комитета по охране объектов культурного наследия Курской области от 22.03.2022 № 05.4-08/203
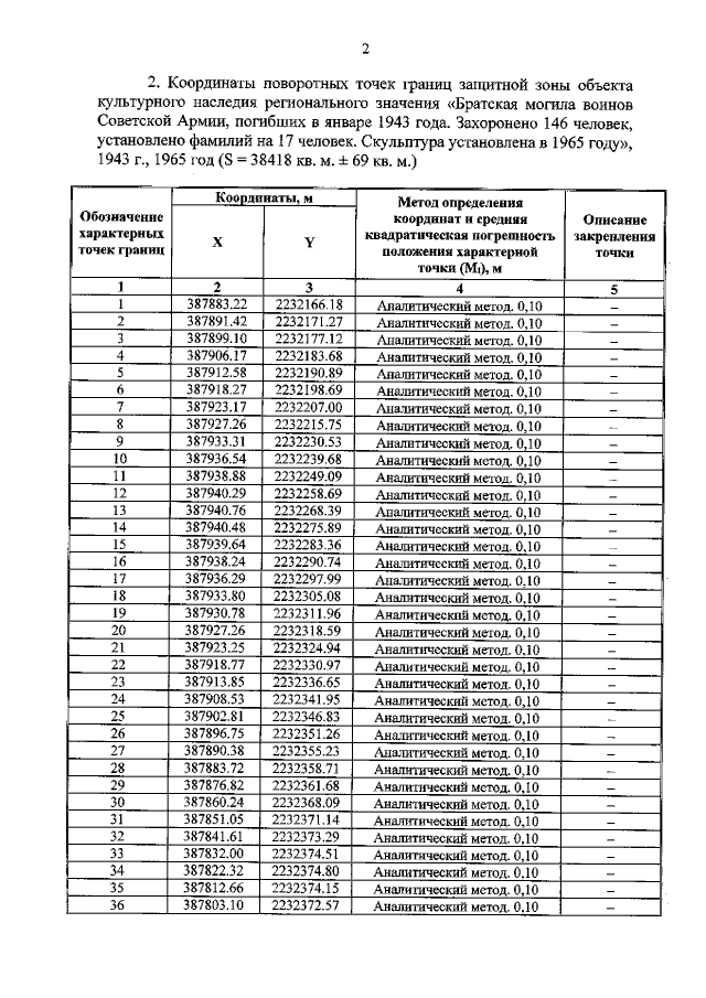
"Об утверждении графического описания местоположения границ защитной зоны объекта культурного наследия регионального значения "Братская могила воинов Советской Армии, погибших в январе 1943 года. Захоронено 146 человек, установлено фамилий на 17 человек. Скульптура установлена в 1965 году", 1943 г., 1965 год (Курская область, Горшеченский район, село Березово)"
"Об утверждении графического описания местоположения границ защитной зоны объекта культурного наследия регионального значения "Братская могила воинов Советской Армии, погибших в январе 1943 года. Захоронено 146 человек, установлено фамилий на 17 человек. Скульптура установлена в 1965 году", 1943 г., 1965 год (Курская область, Горшеченский район, село Березово)"
Номер опубликования: 4601202203300023
Дата опубликования:
30.03.2022
