Приказ Комитета по охране объектов культурного наследия Курской области от 22.03.2022 № 05.4-08/206
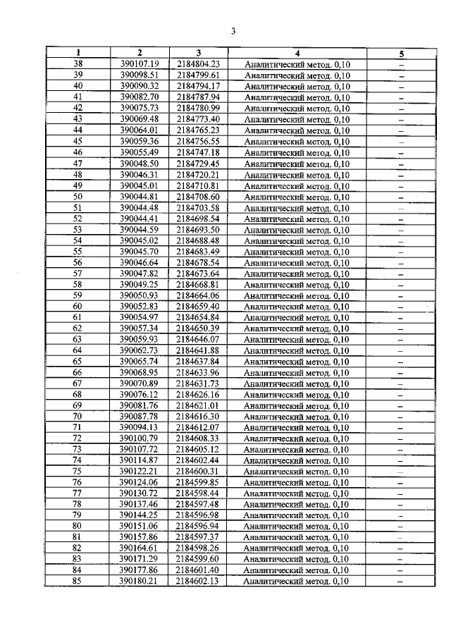
"Об утверждении графического описания местоположения границ защитной зоны объекта культурного наследия регионального значения "Братская могила воинов Советской Армии, погибших в период Великой Отечественной войны. Захоронено 347 человек, установлено фамилий на 137 человек. Скульптура установлена в 1965 году", 1941–1945 гг., 1965 г. (Курская область, Мантуровский район, село Ястребовка (в центре села)"
"Об утверждении графического описания местоположения границ защитной зоны объекта культурного наследия регионального значения "Братская могила воинов Советской Армии, погибших в период Великой Отечественной войны. Захоронено 347 человек, установлено фамилий на 137 человек. Скульптура установлена в 1965 году", 1941–1945 гг., 1965 г. (Курская область, Мантуровский район, село Ястребовка (в центре села)"
Номер опубликования: 4601202203300021
Дата опубликования:
30.03.2022
