Приказ Комитета по охране объектов культурного наследия Курской области от 22.03.2022 № 05.4-08/208
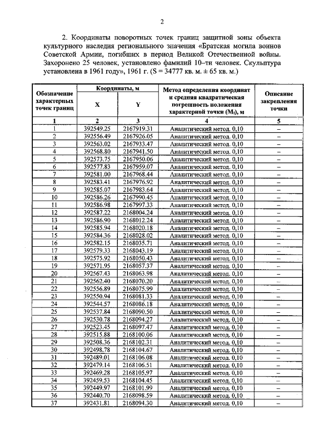
"Об утверждении графического описания местоположения границ защитной зоны объекта культурного наследия регионального значения "Братская могила воинов Советской Армии, погибших в период Великой Отечественной войны. Захоронено 25 человек, установлено фамилий 10–ти человек. Скульптура установлена в 1961 году", 1961 г. (Курская область, Мантуровский район, село Репецкая Плата (у здания сельсовета)"
"Об утверждении графического описания местоположения границ защитной зоны объекта культурного наследия регионального значения "Братская могила воинов Советской Армии, погибших в период Великой Отечественной войны. Захоронено 25 человек, установлено фамилий 10–ти человек. Скульптура установлена в 1961 году", 1961 г. (Курская область, Мантуровский район, село Репецкая Плата (у здания сельсовета)"
Номер опубликования: 4601202203300018
Дата опубликования:
30.03.2022
