Приказ Комитета по охране объектов культурного наследия Курской области от 22.03.2022 № 05.4-08/204
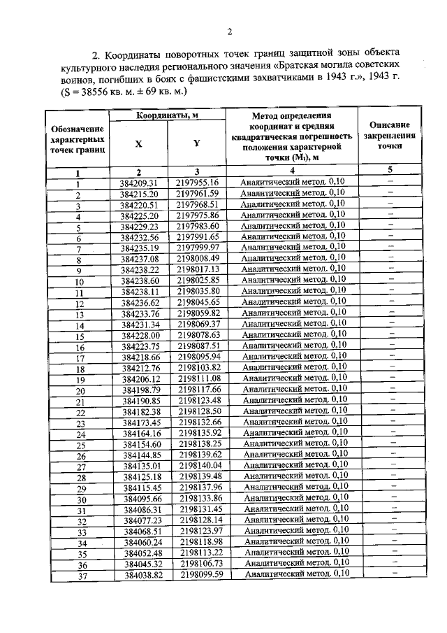
"Об утверждении графического описания местоположения границ защитной зоны объекта культурного наследия регионального значения "Братская могила советских воинов, погибших в боях с фашистскими захватчиками в 1943 г.", 1943 г.(Курская область, Горшеченский район, с. Бараново)"
"Об утверждении графического описания местоположения границ защитной зоны объекта культурного наследия регионального значения "Братская могила советских воинов, погибших в боях с фашистскими захватчиками в 1943 г.", 1943 г.(Курская область, Горшеченский район, с. Бараново)"
Номер опубликования: 4601202203290002
Дата опубликования:
29.03.2022
