Официальное опубликование правовых актов
ОФИЦИАЛЬНОЕ ОПУБЛИКОВАНИЕ
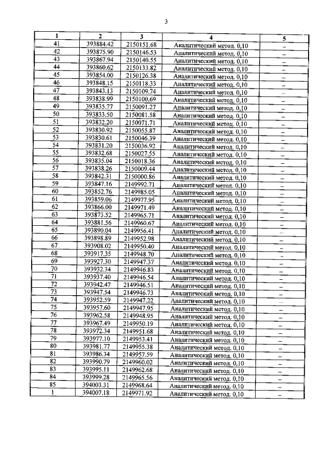
Приказ Комитета по охране объектов культурного наследия Курской области от 22.03.2022 № 05.4-08/200
"Об утверждении графического описания местоположения границ защитной зоны объекта культурного наследия регионального значения "Братская могила около 80 советских воинов", 1943 г.(Курская область, Мантуровский район, д. Рябиново)"
Номер опубликования: 4601202203290001
Дата опубликования: 29.03.2022
Страница №4 из 5:
Увеличить