Официальное опубликование правовых актов
ОФИЦИАЛЬНОЕ ОПУБЛИКОВАНИЕ
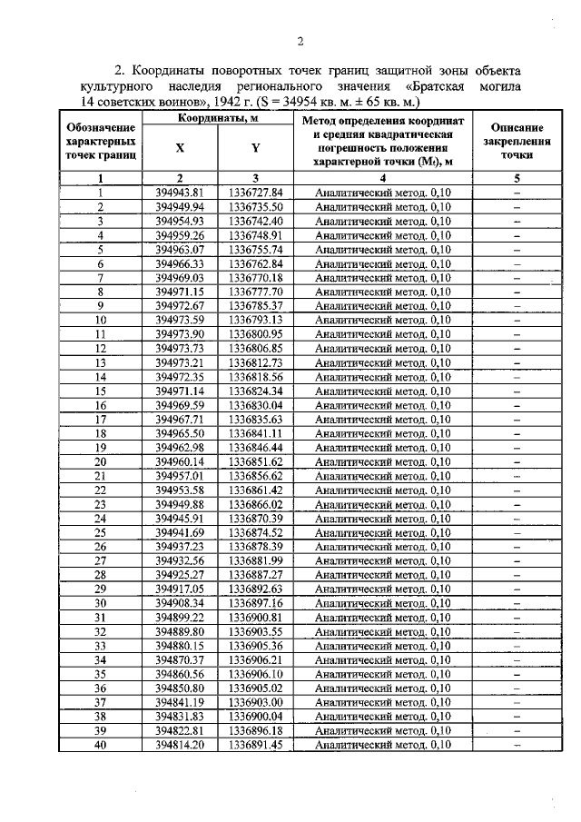
Приказ Комитета по охране объектов культурного наследия Курской области от 10.03.2022 № 05.4-08/142
"Об утверждении графического описания местоположения границ защитной зоны объекта культурного наследия регионального значения "Братская могила 14 советских воинов", 1942 г. (Курская область, Солнцевский район, с. Выползово)"
Номер опубликования: 4601202203160008
Дата опубликования: 16.03.2022
Страница №3 из 5:
Увеличить